Theory

Solute-atom segregation is a phenomenon of the change of local composition in an alloy at or near an inhomogeneity, such as a surface or a grain boundary. Solute-atom segregation at grain boundaries is a very important phenomenon both in theoretical and practical aspects due to its significant effect on the physical and mechanical properties of materials. The extensive studies have been done in this area, while it is still far from being completely understood.

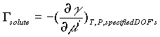
It is known that the decrease of the free energy of a system resulting from the interaction of solute atoms with the stain field around grain boundaries is the driving force for the equilibrium segregation to grain boundaries [2,3]. Solute-atom segregation at interfaces can be described by the Gibbs relation[3]:

(1)

where G solute is the Gibbsian interfacial excess (or depletion) of solute, g is the interfacial free energy per unit area, and m ’ is the chemical potential of a solute atom. The segregation of solute at an interface has a positive Gibbsian interfacial excess. The literature [2] points out that at twisted grain boundaries, an oversized solute is always enhanced both at low angle and high angle boundaries. This is mainly due to the size misfit effect between solute and solvent atoms. Thermodynamically, an internal interface can be described by state variables. For a locally relaxed boundary in a bicrystal, a total of 6+C macroscopic state variables is required to specify the thermodynamic state of the whole system, where C is the number of chemical components in an alloy [2-5]. In a single-phase binary alloy an eight-dimensional phase space is required, and each point in the phase space represents a thermodynamic state of the grain boundary. The eight state variables include the five macroscopic degrees of freedom of a GB, temperature, pressure and bulk composition.

Computer simulation on grain boundary segregation has attracted a lot of attention as it provides detailed atomistic information of segregation phenomena. The application of new simulation methods and atomic resolution experimental techniques makes it possible to compare the simulation results with the experimental results in an atomic scale, and significantly extend the understanding of the physical mechanisms of this effect. Monte Carlo simulations have been employed to study the segregation effect in most of works. One concern in the use of MC simulations is how to appropriately choose a continuous interatomic potential to treat an alloy. Two approaches are generally used. One is the Embedded Atom Method (EAM) which has been utilized in a wide range of problems involving metals and alloys. This semi-empirical method treats the many-body interactions including the embedded energy term which depends on the local environment of an atom [6]. The EAM method arises from the fact that the total electron density in a metal can be written approximately as a linear superposition of contributions of individual atoms. In the neighborhood of each atom, the electron density can be expressed as a sum of the density contributed by an individual atom plus the electron density from all the surrounding atoms. The second contribution to the electron density is a slowly varying function of position. If the background electron density is a constant, then the energy of a specified atom is the energy associated with the electron density of this atom plus the constant background density. In this way an embedding energy is defined as a function of the background electron density and the atomic species, and the total energy term, Etot can be expressed as: [7]:

(2)

where r h,i is the host electron density at site i due to the neighboring atoms, Fi(r ) is the embedding energy of atom i placed into the background electron density r , and f ij(Rij) is the core to core pair interaction between atoms i and j separated by the distance Rij. The electron density is approximated by the superposition of atomic densities as [7]:

(3)

where is the electron density contributed by atom j. As the embedding function Fi(r ) is universal, it makes the EAM model of great value for the study of alloys [3]. However, there are still some discrepancies compared with experimental data [2], although the current EAM potentials can give a realistic picture of segregation. Another approach in the studies of the defects of metals and alloys is the pair potential approximation. This model uses a pair potential for a constant volume system. It has been used to calculate the segregation energy to surfaces and other defects. Monte Carlo simulations of alloy surfaces using Lennard-Jones potentials have been performed by Abraham [8]. Although there is limitation of describing inhomogeneity using this model, it provides a simple way for obtaining some qualitative insight into segregation phenomena.

In our project, we investigated the solute-atom segregation effect at [001] twist grain boundaries in dilute fcc Pt-Au binary alloy using MC simulations. The motivation to chose this type of alloy is due to the fact that platinum-based binary alloys have been thoroughly examined both in computer simulations and in experiments using the atom-probe field-ion microscopic techniques. The segregation at a GB in a dilute Pt(Ni) alloy by a combination of transmission electron and atom-probe field-ion microscopy and MC simulations have been carried out at different structures of grain boundaries[4]. The Cowley-Warren short-range order parameters for the Pt(Au), Pt(Ni) and Pt(W) systems, and radiation damage in the Pt(Au) system have been also studied by field-ion microscopy [4]. This provides us a profound understanding in this subject. In our study, we employed both EAM model and Clamps model using Lennard-Jones pair potential by fixing temperature, volume, bulk composition, and four of the five macroscopic degrees of freedom of a [001] twist boundary and systematically vary the twist angle (q ) between 0o and 30o. The temperature effect at a number of fixed twist angles has also been examined. A series of [001] pure twist grain boundaries, where the twist axis is the [001] direction, have been constructed. At low twist angle, our pure twist grain boundaries consist of pairs of primary grain boundary dislocations (which are screw dislocations in this case) with Burgers vectors (b) are (a/2)<110>. The spacing between these dislocations is given as:

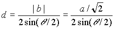
(4)

where |b| is the magnitude of the Burgers vector, a is the lattice constant, and q is the twist angle. At high twist angles, the grain boundaries are complicated due to the dislocation core overlapping. The Metropolis Monte Carlo technique is used to study the segregation effect.

References:

  1. D. Udler and D. N. Seidman, Scripta Metall. et Mater. Vol. 26, pp.449-454, 1992.
  2. D. Udler and D. N. Seidman, J. Mater. Res., Vol. 10, No. 8, 1995, p.1933.
  3. D. Udler and D. N. Seidman, Acta Mater., Vol. 46, No. 4, pp. 1221-1233, 1998.
  4. A. Seki, N. Seidman, Y. OH and S. M. Foiles, Acta Metall. Mater., Vol. 39, No. 12, pp. 3167-3177, 1991.
  5. A. Seki, N. Seidman, Y. OH and S. M. Foiles, Acta Metall. Mater., Vol. 39, No. 12, pp. 3179-3185, 1991.
  6. S. M. Foils and D. N. Seidman, MRS bulletin, Sept. 1990, p.51.
  7. S. M. Foils, Phyical Review B, Vol. 15, No.12, p.7685, 1985.
  8. F. F. Abraham and C. R. Brundle, J. Vac. Sci. Technol. Vol.18, 1981, p.506.