9.2.1 Desorption Rates

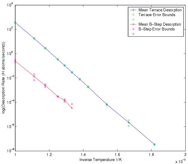
Figure 9 shows the overall desorption rate and the desorption rate off of the top of the B-steps. Note that we have no terrace desorption below 550 K and no B-step top desorption at below 750 K. This corresponds fairly well with experimental evidence, as experimentalists have found that desorption is incredibly unlikely at temperatures of 500K or lower.

Figure 9: Desorption Rate by Temperature

Looking at the desorption rate at different locations on the surface at a fixed temperature is also informative. Figure 10 shows the number of particles desorbed across the $x$-dimension of the surface. Since the vast majority of the grid sites are part of the ``terrace,'' it is unsurprising to see a lot of low-level noise hovering around the system-wide mean. The interesting spikes on the graph occur around the A-step (the left set of spikes) and the B-step(the right set of spikes).

Figure 10: Spatial Desorption at 900K

The desorption rate near the A-step (see Figure 11) show interesting patterns. The A-step itself is between sites 128 and 129, which means that site 128 is on the top of the A-step (with its dimer partner on site 127) and site 129 is on the bottom of the step. Since site 129 is in the section with horizontal dimer rows, its partner site would also be in the same ``column.'' Note the decreased desorption on the top of the A-step (127,128) while the two sites immediately next to the base of the step show increased desorption.

Figure 11: Spatial Desorption at 900K near A-step

This graph (and others like it for other temperatures) strongly suggests that the base of the A-step is a preferential site for desorption. This is fairly intuitive. Particles tend to diffusion to the bottom of the A-step (from either direction) and then generally do not jump up the step again. Likewise, the top of an A-step is a less likely candidate for desorption, since moving down the A-step is a low-energy move (1.68eV), compared to desorbing off of it (2.48eV).

Figure 12: Spatial Desorption at 900K near B-step

Figure 12 shows similar results for the area near the B-step. The top of the B-step is at site 385, and the base is at site 386. Under our model, desorption is a priori impossible from the base of the B-step. However, desorption from the top of the B-step is quite low. This is due to the fact that the top of the B-step is a high-energy location (.06eV above the terrace). Thus, though it is easier to desorb from this site, particles tend to migrate to the base of the step and get stuck there instead (and thus not desorb). To the immediate right of the B-step base, the desorption rate returns to close to the system-wide mean value. This implies that the area near the base of a B-step is not a preferential site for desorption.

Chris Siefert and Molly Moore 2002