Algorithms

Take a look at what's going on during the simulations before we discuss the algorithms.(No volume change and chain exchange. Suggested browser:IE5.0)



In this project, we use grand canonical ensemble to calculate the absorption curve of polymers from resevoir, and we use Gibbs ensemble to calculate the phase diagram of gas-liquid polymers. The difference of the two ensembles is that, in the former one, we are concerned with one system and treat the other as a resevoir and its effect comes in through pressure as well as particle exchange. We need only to keep track of physical quantities in the first system. And that, in the latter one,  we are concerned with both of the systems and they equilibriate through volume change and polymer exchange. We have to record physical quantities in both systems. In the following, we do not give the derivations of the acceptance ratios. We simply describe the procedures and refer those interested to the literature3.


Algorithm in Grand Canonical Ensemble
 There are four different kinds of Monte Carlo procedures in the grand canonical ensemble:(i)Displacement of chains,(ii)Deformation of chains,(iii)Change of volume and (iv)Insertion/Removal of chains.
(i)Displacement of chains

A chain is randomly selected and moved to a new position. This trial move is accepted with a probability

(ii)Deformation of chains
In addition to the configurational-bias method, we also compare with the reptation method, so we list both algorithms as follows,
(a)Reptation

This involes selecting a chain, cutting one end and attach a new monomer to the other end. Since the potential energy is composed of two parts:bonded and nonbonded,

we can in practice sample the position(rL+1)of the new monomer to be attached to one end, say rL ,according to the bonded part,

Then we attach this new monomer and delete the other end, say at r1, with an acceptance probability

Note that we have equal probability to choose either end to be deleted.

(b)CBMC method

The configurational-bias method involve randomly selecting one monomer in a chain and replace the rest of the chain with a new configuration, which is generated in a biased way such that this new configuration is most probably accepted. We must determine the Rosenbluth weight W(o) of the old configuration from rf to rL  and W(n) of the new configuration from rf' to r'L . The new configuration is accepted with probability

Next we discuss how to determine W(o) and W(n).
For W(o):
(1) Measure the interaction energy of the f-th monomer with other polymers as well as with monomers before the f-th one and denote the value by uf(o) and define wf(o)=k exp(-buf(o)), where k is the number of random directions we assign to our continuum model.(Note k=6 is the coordination number in 3-d cubic lattice.)
(2) Compute for the i-th monomer the nonbonded interaction energy(ui(o)) with other polymers and previous monomers. Generate k-1 directions randomly and a bond length l according to the bonded distribution, and we get k-1 new positions.
Suppose our i-th monomer were in one of the k-1 sites, say j, and calculate its nonbonded interaction with other polymers and previous monomers, denoting the value by ui(j). And define.
(3) Repeat (2) until the end of chain. The Rosenbluth weight.
For W(n):
(1) Generate k directions randomly and a bond length l according to the bonded distribution, and we get k new positions. Measure the interaction energy uf(j) and calculate . For the k possible new positions, choose one, say n, with a probability .
Note, if f happens to be one, this means that we grow a whole new chain. And we generate the first monomer at a random position. Its interaction energy with other polymers is denoted by u1(n) and the w1(n) is defined as .
(2) Similarly, calculate wi(n) and choose one with a probability 
(3) Repeat (2) until the end of chain. The total nonbonded interaction energy of the new grown part is  and the Rosenbluth weight .

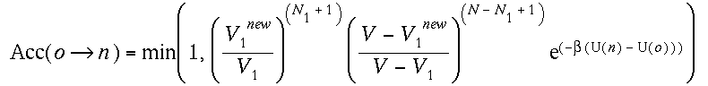
(iii)Change of volume
When make a volume change from V to Vnew, we accept the trial move by an acceptance ratio,

If instead we perform the random walk of volume change in ln V, the probability of accepting this ln Vnewis

(iv)Insertion/Removal of chains
(a)Insertion
We grow a whole new chain (see note in CBMC method) and compute W(n). We define the normalized Rosenbluth weight  , where L is the number of monomers in a chain. And accept this new chain with a probability,

where Pideal_chain is the pressure of the resevoir of ideal chains.
(b)Removal
We randomly choose an existing chain, compute its W(o) and define the normalized Rosenbluth weight  .This chain is deleted with a probability,



We use the grand canonical ensemble to simulate the adsorptiion curve of polymers from a resevoir of ideal chains. We use 40 displacements, 20 CBMC moves and 20 Chain exchange in a cycle and average over 2000 samples after 2000 equilibriiation steps.(Click on the graph to have an enlarged view.)
 



Algorithm in Gibbs Ensemble
The two procedures, displacement and deformation of chains, are the same as those in grand canonical ensemble, and they are performed independently in each box. But increase of the volume of one box decreases that of the other, and the insertion of a chain into one box means removal of a chain from the other box at the same time.(We keep total volume and number of chains constant.) So there needs some modification of the above third and fourth procedures.

(iii)' Change of volume
Since total volume of the two systems is V=V1+V2=fixed, if the volume of box 1 is changed to V1new=V1+dV , box2 is then changed to V2new=V2 -dV. The acceptance ratio for such change is,

If instead we perform the random walk of volume in ln(V1/(V-V1)), we accept the ln((V1/(V-V1))new) with a probability,

(iv)' Exchange of chains
If we remove a chain from box 1 and insert it into box 2, we have to calculate the Rosebluth weights W(o) of box 1 and W(n) of box 2. This trial exchange is accepted with a probability,

Note that we have equal probability of choosing to insert a chain into or remove a chain out of a box.


We use Gibbs ensemble to compute the vapor-liquid coexistence curve of the Lennard-Jones chains(6000 samples after 6000 equilibriation cycles with initial 50 polymers in each system of box length 8.6). We estimate the critical temperature Tc to be around 1.9+/-0.1 and the critical polymer density to be 0.08+/-0.002.(Click on the graph to have an enlarged view.)


Back to Project Main Page