There is a broad range of computationally developed potentials which have been used in calculations of solid nitrogen. We have chosen to use a modified version of the "Etters Pottential". The Etters group fit experimental data for the 2nd virial coefficient and interactions between molecules in the gas phase to ab initio calculations and extrapolated these to the solid phases [1]. Several other groups in turn modified this potential to fit various aspects of the phase diagram, through adjusting the parameters in the potential [2,3,5]. We used the Fabianski version of the potential was fit to the alpha/gamma phase transition, and is considered the current best potential for our case.
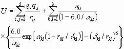
The potential is
where the constants alpha, delta and epsilon are adjusted to fit. The indices i, j, k, and l refer to specific points along the axes of the pair of molecules. Point i refers to placement of fictitious electric charges of charge qi located on the axis of the first molecule, while point j refers to a similar point on the axis of the second molecule. This combination of electrostatic charges simulates the quadrupole and higher order electrostatic moments of the molecules. Points k and l perform similar functions in determining the attractive-repulsive van der Walls bonding between pairs of molecules. The physical extent of the molecules in the actual solid are on the order of the lattice constant, so the orientations have a big effect on the the size of especially Their relative positions determine the multipole moments and the strength of the van der Waals bonding in the potential.
Next: Free Energy
Up to Table of Contents