Next: Parameter Encoding
Up: Silicon Cluster Optimization Using
Previous: Literature Review
Silicon Potential
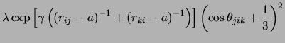
Figure 1:
Angular part of the three-body term of SW and Gong potential. Reproduced from Iwamatsu, M. J. Chem. Phys. 112 10976 (2000)
 |
Many researchers have used either the empirical potential proposed by Stillinger and Weber [26] (SW) or the Tersoff potential [27] for calculating the potential energy of silicon clusters. Tersoff potential is a two body potential where as SW potential is a two and three body potential. However, although these potentials have satisfactorily predicted some bulk phase properties, they are not accurate in predicting the structural properties [28]. The three-body term in SW potential becomes zero only for the perfect tetrahedron angle (
). On the contrary, ab initio molecular dynamics calculations indicate a large peak at
and a smaller peak at
[28]. The Gong potential, based on SW potential, contains a correction in the three-body term to incorporate not only the tetrahedral angle but also the preferred angle. The Gong potential is of the following form
where
is the potential energy of the cluster,
is the two-body term,
is the three-body term,
, and
is the angle subtended by
and
with the vertex at i. A, B, p, q, a,
,
, c
, and c
are the empirical parameters determined by fitting to the bulk-phase data and ab initio calculations. The angular part of the gong potential is given by the term
and it incorporates the preferred bond angle. A comparison of the three-body term of SW and Gond potentials for different angles is shown in fig. 1. Gong reported that the structural properties predicted by his proposed potential agreed very closely with those obtained by ab initio studies and also was a significant improvement over other potentials. Iwamatsu [10] has compared the optimal structures predicted by the two-body, two-and-three-body SW potentials and the Gong potentials for Si clusters (n = 3-15). In the current study we have used Gong potential with both two-body and three-body terms to calculate the total potential energy of a given cluster.
Next: Parameter Encoding
Up: Silicon Cluster Optimization Using
Previous: Literature Review
Kumara Sastry
2001-04-02