Project Report:

    Introduction 
    Water Potential
    MD simulations 
    Results 
    Conclusions
    References

Slides

Home
 
 
 
 

Team 2 

Xiaohai Li
Vamsi Akkineni
Jianwei Wang 

Fall, 2002 

MD Studies of LDL and HDL Phases of Supercooled Water 

Xiaohai Li, Vamsi Akkineni, Jianwei Wang


Potential[7]
     Interactions between water molecules are far more complicated than those between particles of simple liquid. This complexity arises from the ability of water molecules to form hydrogen bonds, making water an associated liquid. Also it arises from the existence of substantial non-additive three- and high-body terms which leads to the failure of the ordinary pair-additivity approximation used in computer simulation.  A lot of studies have shown that the results of the simulation are highly sensitive to the intermolecular potential function used.

     The intermolecular potential of water molecules used in computer simulation can be grouped into two classes as far as their origin is concerned: empirical and quantum mechanical potentials.  In the first case, all parameters of a model are adjusted to fit experimental data for water from different sources, and thus necessarily incorporate effects of many-body interactions in some implicit average way. The second class of potentials obtained from ab initio quantum mechanical calculations represent purely the pair energy of the water dimmer and they do not take into account any many-body effects. But they are usually computationally extremely demanding. So here we focus on the first class of intermolecular potentials.

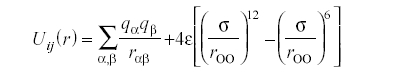
     One of the most widely used intermolecular potentials is ST2 model. It is a 5-point model with four charges arranged tetrahedrally around the oxygen atom (Fig 2c). The positive charges are located at the hydrogen atoms at a distance of 1Å from the oxygen atom, nearly the real distance in the water molecular. The negative charge are located at the other two vertices of the tetrahedron (sites t1 and t2 in Fig 2c) but at a distance of only 0.8Å from the oxygen. The tetrahedrally arranged point charges make it possible to form the hydrogen bonds in the right direction. The totally interaction energy for a pair of molecules i and j can be written as follows: 


which basically is Coulomb interactions between all  the charged sites plus the Lennard-Jones interaction between the oxygen atoms.

     Another empirical water model often used is the TIP4P model. It differs from the ST2 model in several aspects. The rigid geometry employed is that of the gas phase monomer with an OH distance of 0.9572 Å and an HOH angel of 104.52º. The two negative charges are reduced to a single one at a point M positioned on the bisector of the HOH angle at a distance of 0.15 Å in the direction of the H atoms(Fig 2b).  It also can written as a Coulomb term plus a (12-6) Lennard-Jones term.

       The empirical simple point-charge (SPC) model is a 3-site model (Fig 2a) with partial charges located directly on the oxygen and hydrogen atoms. SPC model has a rigid geometry and LJ parameters quite similar to those of the TIP4P model. Some modified SPC models have been introduced, such as SPC/E model. 

     All these potentials discussed above are all fixed point charge model. Actually none of them can quantitatively reproduce thermodynamic and structural properties of water over a broad range of temperature and pressures. A lot of work has been done to include additional terms besides the two-body effective potential, such as molecular polarizability or intramolecular flexibility. 

 

                                                                           Fig 2 three kinds of water potential[7]
   Flexible SPC Water parameters:

  Charge on H: +0.41e and charge on O: -0.82e
  Angle of HOH: 109.47°
  Length of OH: 1.0Å
  = 3.166Å 
  = 78.2 K
  kOH  = 4637 kJ/(mol Å2)  kHOH  = 383 kJ/(mol rad2)